Effect of some nozzle parameters on the characteristics of jet ring-spun yams

S N Subramanian
Textile Technology Department, SNS College of Technology, Coimbatore 641 035, India
A Venkatachalam
Textile Technology Department, P S G College of Technology, Coimbatore 641 004, India
and
V Subramaniam
Jaya Engineering College, Thiruninravur 602 024, India

The effect of single, double and triple air-jet nozzles of different materials, such as brass, aluminium and teflon, on the characteristics of jet ring - spun yarns has been studied. Regular and jet ring-spun yams of 19.68 tex, 14.76 tex and 11.81 tex have been produced and then tested for hairiness, tensile and evenness properties. Surface features of all these yarns are compared by scanning electron microscopic studies. It is observed that the jet ring-spun yarns display lower hairiness and higher tenacity. The study further suggests that for achieving a reduction in hairiness and good strength with better evenness properties, the use of single brass nozzle will suffice which would lead to considerable reduction in quantity of air used and enable the piecing to be done more easily in ring frame.

Keywords: Air-jet nozzles, Air pressure, Aluminium, Brass, Jet ring - spun yarns, Teflon

1 Introduction

The introduction of air-jet nozzles in the conven-tional ring frame has received much attention1-9 in recent years because of the reduction in yam hairiness that influences the downstream processing and fabric appearance. It has been demonstrated that the use of single nozzle in ring frame and cone winding improves the yam hairiness. Several researchers have studied the effects of parameters including process conditions and nozzle design on the hairiness of air-jet ring-spun yams using experimental methods.1°-13 Cheng and Li14 investigated the effects of nozzle pressure of compressed air, distance between front roller nip and inlet of nozzle, yarn twist level and spindle speed on yam hairiness. Zeng and yU95 reported the characteristics of air flow in the nozzle and the effects of nozzle pressure at jet orifice angle on yam hairiness by both theoretical predictions and experimental studies. Oxenham and B asul6 experimented with a nozzle coated with polytetra fluoroethylene (PTFE) in air-jet spinning and demonstrated that it led to a significant improvement in the tenacity of the yam. They further reported that the higher tenacity could be achieved by suitably modifying the design of the jets.

The need of similar study was also felt in air-jet ring frame. Moreover, in considering the economics of producing jet ring-spun yarns, factors such as the amount of air, ease of piecing and the type of the material used in nozzles assume greater importance. The literature also revealed the complete absence of work on the effects of number of nozzles and the types of material used on the characteristics of air-jet yarns spun in ring frames. The present work was, therefore, undertaken to study the effect of single, double and triple ait-jet nozzles of different materials on characteristics of jet ring-spun yams. As the air-jet spinning results in reduction in yam hairiness, how the materials used for making nozzles and the number of nozzles used influence the quality of the jet ring-spun yarn has been explained to explore the effectiveness of the system at a rate higher than that of ring spinning.

2 Materials and Methods

2.1 Materials

This study was carried out in a modem spinning mill using the same mixings (100% cotton), which the

mill was using for its regular production. For producing 19.68 tex yams, a 100% cotton mixing with 2.5% span length, 28.5mm; fineness value, 4.0; bundle strength, 21.5% g/tex; and uniformity ratio, 48; was used. For 14.76 tex and 11.81 tex yarns, another mixing of 100% cotton with 2.5% span length, 31 mm; fineness value, 4.2; bundle strength, 22.5 g/tex; and uniformity ratio, 49.5 was used.

Single, double and triple air-jet nozzles3'7'9 were fabricated using brass, aluminium and teflon materials. The nozzle geometrical parameters used in the study were: vortex chamber diameter, 3.5 mm; jet orifice angle, 45°; and length of nozzles being 2.5 cm, 7.5 cm and 11.5 cms respectively for single, double and triple nozzles. A total of nine nozzles were designed and constructed from different materials.

2.2 Preparation of Yarn Samples

To compare the jet ring-spun yarns with the standard ring-spun yarns, a series of yarns was spun on both the systems using the following details and relevant machine settings : LR blow room; LC 300A chute feed cards with a delivery hank, 0.120; speed, 100 mpm; LK 250 combers with a backward feed type; feed/nip, 4.9mm; speed of the comber, 250 nip/min; delivery hank, 0.130; comber noils extracted, 18%; LF 1440 simplex hank, 1.30; LR/6 ring spinning frame; top arm drafting; twist factor, 3.46; yarn twist, 'Z' type; and spindle speed, 14,000 rpm. The ring frame was set up to produce yarns of 19.68, 14.76 and 11.81 tex from 100% cotton.

For producing jet ring-spun yarns, an air-jet nozzle attachment was fitted below the spinning triangle (yarn forming zone) of the regular LR ring spinning frame.7'9'16 The distance between the front roller nip and the top of the air-jet was set at 10 cm.

Thus, to assess the effect of experimental variables on the hairiness, evenness properties, tensile strength and elongation of the jet ring-spun yarns, three types of nozzles (single, double and triple) were constructed separately from three different materials (brass, aluminium and teflon) using three linear densities (19.68, 14.76 and 11.81 tex), thus producing in total 27 jet ring-spun yarn samples for the study along with three regular ring-spun yarns for comparison. The air pressures chosen were 0.25 bar for single nozzle, 0.25 and 0.50 bar for double nozzle, and 0.25, 0.25 and 0.50 bar for triple nozzles respectively.

The effects of each of these parameters and their interactions on the properties of 19.68, 14.76 and 11.81 tex yarns were studied. 2.3 Testing of Yarn Characteristics

All these yarn samples were than conditioned in an atmosphere of 65 ± 2% RH at 25 ± 2°C for 24 h before evaluating yarn characteristics. Yarn samples were tested for various properties,17 namely tenacity and elongation using Uster Tensorapid tester (ASTM D2256 test method) with a sample length/test of 250mm (GL) at a speed of 300mm/min, and 100 tests were performed with 0.5 g/tex pre-tensional force. Hairiness was tested using Zweigle G565 hairiness tester (ASTM D5647 test method) with a sample length of 500 m/test at 50m/min, and 5 tests were conducted with 10 g tension applied during the test. Uster hairiness tester was used to study the hairiness index. U% and total imperfections were tested using Uster tester 3 with a sample length of 1000 mm at 400m/min speed, and 5 tests were conducted using the test conditions of thin places (-50%) thick places (+50%) and neps (+200%). Scanning electron micrographs of the yarns were studied to have a realistic idea of their appearance.

3 Results and Discussion

To determine the effects of experimental variables and their contribution to test parameters on jet ring-spun yarns, the results obtained from the experimental testing of yarn samples were statistically evaluated using SPSS software. Variance analysis was used, and by using F values the significant difference between the yarn quality data of regular ring and jet ring-spun yarns was studied.

3.1 Tensile Properties

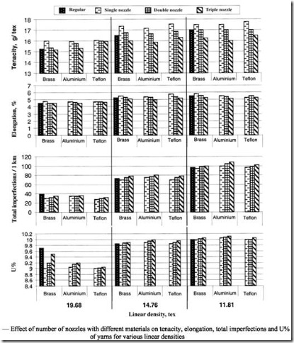
Jet ring-spun yarns show higher tenacity values for all the linear densities of yarns (Fig. 1). The statistical evaluation reveals that the difference of tenacity is significant only in the case of jet ring-spun yarn produced using single brass and single teflon nozzles for all the linear densities and non significant in all other cases. Although the tensile properties of jet ring-spun yarns produced using aluminium nozzles are found to be higher in most cases than the regular ring-spun yarns, the differences are not found to be significant at the significance levels of a = 0.05. Jet ring-spun yarns also exhibit higher elongation values (Fig. 1) as compared to regular ring-spun yarns which is probably due to the wrapping of surface fibres that slows down the process of disintegration of the yarn structure during extension.

It is observed that the improvement in tenacity is marginal and statistically not significant for higher

clip_image002

counts. The coarser counts benefit by the installation of nozzles. There is no perceptible change in the elongation of the yarns. Unlike the production of compact yarns where the edge fibres are condensed in the drafting zone, no such opportunity is provided in the jet ring-spun yarns and the only zone where the hairiness can be reduced is in the nozzle. Perhaps with a suitable combination of air pressure and nozzle design, further improvements in yarn tenacity can be brought out.

3.2 Yarn Evenness and Imperfections

It is observed that the jet ring-spun yarns are superior compared to regular ring-spun yarns in terms of evenness and total imperfections (thin places, thick places and neps) (Fig. 1). The jet ring-spun yarns produced out of brass nozzles are found to be statistically significant at a =0.05 levels for 19.68 tex yarns as compared to regular ring-spun yarns.

Significant difference is observed between the regular ring-spun and the jet ring-spun yarns produced out of aluminium as well as teflon nozzles for 19.68 tex but the differences are not found to be statistically significant for higher counts.

3.3 Yarn Hairiness

Yarn hairiness was examined on two different testers. It is observed that the jet ring-spun yarns have

lower S3 values and H values as compared to regular ring- spun yarns in all the cases. Results from the Zweigle hairiness tester have indicated a 40% reduction in the number of hairs for 19.68 tex jet ring-spun yarn produced from single brass nozzle as compared to regular ring-spun yarn. The mechanism of hairiness reduction could be due to the tucking of fibre ends into the yarn structure and the wrapping of surface fibres by swirling air currents in the air jet. This is in agreement with the findings of Cheng and Li14 who have demonstrated the superiority of jet ring-spun yarns over conventional ring-spun yarns.

Statistically significant differences are observed between jet ring-spun and regular ring-spun yarns for all the materials of nozzles, types of nozzles and different linear densities in both Uster hairiness and Zweigle hairiness test values.

The hairiness results of Zweigle show that there is a significant reduction in all hair length classes of the jet ring-spun yarns. Yarn hairiness (Zweigle) values of jet ring-spun yarns for various linear densities and of regular ring-spun yarns are shown in Table 1.

3.4 SEM Study

The surface features of various jet ring-spun and regular ring-spun yarns have been studied by scanning electron micrographs (Fig. 2) of 19.68 tex yarn as an example which illustrates the trend for various linear densities. It is obvious that the jet ring-spun yarn produced using single brass nozzle is more uniform with few long hairs on its surface as compared to other types of jet ring-spun yarns produced and the regular ring-spun yarns.

3.5 Effect of Nozzle Parameters on Characteristics of Jet Ring-spun Yarns

Table 2 shows statistical analysis results of the effect of nozzle parameters on the yarn characteristics in summary form. Jet ring-spun yarns produced with single nozzle made from brass are less hairy and with higher tensile strength and improved evenness properties than the regular ring-spun yarns and also other jet ring-spun yarns for all the yarn linear densities studied.

Yarns made out of teflon nozzle also show better hairiness along with the higher tenacity which can be explained as follows. The nozzle produced with teflon leads to increased yarn tension which is due to the frictional force of the yarn inside the nozzle and the swirling action on the yarn by air currents. The swirling action presses the fibres inside the nozzle and results in greater compaction. Yarn strength is slightly enhanced due to straightening of the fibres as the fibre band passes through the nozzle.

Overall, it is found that the single nozzle produces superior yarns compared to other types of nozzle.

clip_image004

clip_image006

Yarns produced using single brass nozzle followed by single teflon nozzle show less imperfections and U% along with low hairiness values and higher tenacity and elongation. Differences in U% are not significant in the other cases. Jet ring-spun yarn, produced using aluminium nozzle also shows improvement in all the properties of yarns but is comparably inferior to those produced using brass and teflon nozzles and not significant.

One very interesting observation is that the reduction is less in triple nozzle; this may be due to the increase in residence time of the yarn inside the nozzle and subsequent action of air currents. Kalyanaraman5 has found this phenomenon with the air pressure for the nozzle made out of teflon. The improvement is found to be marginal with the triple nozzle made out of aluminium.

4 Conclusions

4.1 Jet ring-spun yarns produced from various types of nozzles and materials of nozzles exhibits better evenness properties, higher tensile strength and elongation, lower hairiness as compared to regular ring-spun yarns.

4.2 Scanning electron micrographs of the yarns also show that the jet ring-spun yarns are superior, much leaner, compact and with very few long hairs on the surface.

4.3 The use of single nozzle preferably made out of brass followed by teflon has lead to a considerable

reduction in quantity of air used and thus will doubtless enable the piecing in ring frame to be made more easier.

4.4 For achieving a reduction in hairiness and good strength, it will suffice if a single nozzle is used with an air pressure of 0.25 bar and orifice angle of 45° for 19.68 tex yam. The nozzle air pressures chosen may not be very appropriate for all the linear densities of yams studied, and hence further studies need to be carried out in such areas since the results reveal that the reduction in hairiness values is significant only for 19.68 tex, but for higher counts the opposite trend is obcerved.

Acknowledgement

The authors are grateful to the Management of M/s Surana Textile Mills Ltd., Coimbatore, for providing facilities to produce nozzles and yams and to the Management of PSG College of Technology, Coimbatore, for their support for conducting various tests and analysis of data and their encouragement for successful completion of the study.